|
|
|
| Ana
Sayfa | Önceki Sayfa |
Sonraki Sayfa |
|
Ek
Bilgi > Fotopolimerler:
Fotopolimer, ışık enerjisine
maruz kaldığında kimyasal reaksiyona uğrayarak mekanik
ve kimyasal yapısı değişen bir tür polimerdir. Fotopolimerler
cinslerine göre değişik dalgaboyundaki ışıklarda aktive
olurlar. Ayrıca ışığın gücü ve süresine bağlı olarak
maruz kaldığı enerji miktarı kür seviyesini değiştirir.
Bu teknolojiyi kullanan otoinşa cihazlarında genellikle
görünmeyen dalga boylarında kızılötesi (Ultra Violet,
UV) ışık kaynakları kullanılmasına rağmen, görünür dalgaboyundaki
ışık ile aktive olabilen fotopolimer inşa malzemelerini
kullanan modeller de üretilmiştir.
|
|
Tarihçe
ve kullanım alanları:
Sağda, doğal fotopolimer malzeme ("bitumen of Judea",
Suriye'de çıkan bir tür ince asfalt veya katran) kullanılarak
yapılmış bir fotoğraf plakası üzerine saatlerce düşen
bir götüntüyle elde edilmiş Dünyanın ilk fotoğrafı görülmektedir.
(Nicephore, Fransa / Chalon, 1826)
Nicephore, aynı fotopolimer malzemeyi maatbaacılıkta
resim çoğaltmakta da kullandı: bakır bir plaka üzerine
ince bir tabaka Suriye katranı sürüp ardından üzerine
yağa batırılarak şeffaf hale getirilmiş resimli kağıt
konularak güneş altında bekletiliyordu. Resmin şeffaf
kısımları ışığı geçirerek ardadaki kaplamanın kür olmasını
sağlıyordu. Kür işlemindne sonra plaka yıkanıyor ve
sadece resmin siyah kısımlarında plakanın üzeri katran
kaplı kalıyordu. Ardından bu plaka asit içerisinde bekletiliyor
ve kür olmuş Suriye katranı ile korunmayan tüm bölgeler
biraz oyuluyordu. Böylece matbaa presinde kullanılabilecek
uzun ömürlü bir baskı plakası elde edilmiş oluyordu.
Matbaa baskı plakalarının
üretiminde fotopolimer kullanımı o günden sonra sürekli
artış göstermiş ama kısa sürede Suriye katranı yerine,
ışığa karşı daha hassas ve kür olduktan sonra çözünmeye
karşı daha yüksek dayanımlı olan dikromatlı jelatin
(dichromated gelatin) kullanılmaya başlanmıştır.
1930'lu yıllarda ise gelişen kimyasal sentez teknolojileri
yardımıyla dikromatlı jelatinden çok daha iyi sentetik
fotopolimerler geliştirilmiştir; Bunların ilki ise Eastman
Kodak Firması'ndan Louis Minsk'in geliştirdiği poly(vinyl
cinnamate) formüllü fotopolimerdir.
Matbaacılıkta
bakır plaka kullanımı ise yerini, zaten bilinen bir
baskı tekniği olan Litografi (lithography)'ye
bırakmıştır; Bu teknikte, alçı taşından yapılmış ve
yüzeyi parlatılmış plakalar üzerine dikromatlı jelatin
sürülür ve çoğaltılması istenen resmin negatifiyle maskelenerek
yüzeye ışık verilir. Işık gelen kısımlar kür olup alçı
taşına yapışır, diğer bölgeler ise yıkanarak temizlenir.
Kaplama yıkandıktan sonra plaka üzerine koyu kıvamlı
bir mürekep sürüldüğünde mürekkep sadece fotopolimer
kalpamanın olmadığı taş yüzeyine tutunarak baskı sırasında
istenen resmin pozitif olarak kağıda aktarılmasını sağlar...
Kısa bir süre sonra ise alçı taşı plakaların yerine
günümüzde hala offset baskıda kullanılan gözenekli
alüminyum silindirler almıştır.
Litografi, fotopolimerlerin
matbaacılıkta kullanıldığı tek yöntem değildir; Serigrafi
(serigraphy) tekniğinde ipek veya benzeri şekilde
ince dokunmuş bir kumaşa fotopolimer emdirildikten sonra
üzerine çoğaltılacak resmin negatifiyle maskelenerek
ışık düşürülür. Kür işleminden sonra kumaş yıkandığında
sadece ışık düşmemiş bölgeler gözenekli kalır, diğer
kısımlar ise mürekkebi geçirmeyecek hale gelir. Daha
sonra elde edilen bu "kumaş mürekkep maskesi"
kağıt ile mürekkep kaynağı arasına yerleştirilerek mürekkebin
kağıt üzerinde istenen nokatalara geçmesi sağlanır.
Serigrafi tekniği günümüzde küçük kapasiteli baskı işlerinde
hala kullanılmaktadır... Fotopolimer
malzemeler matbaacılık haricinde boya, kaplama ve yapıştırıcı
amaçlı da kullanılmaktadırlar.
Işıkla başlatılan polimerizasyon
(photoinitiated polymerization) istenilen malzeme özelliklerine
ulaşılmasını da sağlar; Reaksiyona başlayacak reçinedeki
monomer ve diğer kimyasallar ayarlanarak reaksiyon sonrasındaki
sertlik, renk, çözünürlük, geçirgenlik, yapışkanlık
gibi özellikler ayarlanabilir. Bu sayfanın sonunda verilen
firmaların yaptığı birçok araştırma sonucunda ise Stereolitografi
(stereolithography)
isimli otoinşa tekniğinde kullanılacak ve kür olduktan
sonra birçok farklı özelliğe sahip fotopolimer reçineler
geliştirilmiştir. Uzun vadede, kür olduktan sonra günümüzde
kullanılan birçok plastiğe muadil özelliklere sahip
olacak fotopolimer reçineler geliştirilebilir.
Fotodegradasyon
(photodegradation) ise fotopolimerizasyonun aksi bir
şekilde üretilen plastiklerin güneş ışığı altında zamanla
bozulmasının ardında yatan mekanizmadır. İlk sentetik
plastikler güneş ışığına karşı yeterince dayanıklı değiller
ve zamanla mukavemetlerini kaybediyorlardı. Sonraları
yapılan birçok araştırmayla kızılötesi ışığa karşı stabilizatör
katkılar (photostabilizers) geliştirilmiştir.
Sonuçta,
gerek fotopolimerizasyon gerek ise fotodegradasyon sanayide
önemli yer tutan konulardandır ve fotokimya alanında
birçok çalışma yapılmasına sebep olmuş ve olmaktadırlar...
Aşağıda,
fotopolomier kimyasını açıklayacı ve konuya giriş niteliğinde
bir yazı bulunmaktadır:
|
|
Polimer
Kimyası:
Fotopolimerleri anlayabilmek için öncelikle polimer
kimyasını anlamak gereklidir. Çünki fotopolimer kısaca
ışıkla büyüyen bir tür polimerdir:
Polimerin
tanımı ve özellikleri:
Polimer ismi,
Yunanca'da -birçok parçası olan- anlamında "polymerés"
kelimesinden İngilizce'ye (polymer) olarak geçmiştir.
Polimer, monomer adı verilen tekrarlayan moleküllere
sahip bir kimyasal maddedir.
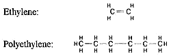
Solda:
En basit polimer örneği polietilen (polyethylene) dir.
Polietilen, etilen (ethylene) ismi verilen monomerden
oluşmuştur. Etilen hafif bir gaz olmasına rağmen polietilen,
şişe ve diğer ambalaj malzemelerinin üretildiği sert
bir plastiktir. Polietilen molekülleri büyük olduğu
için katı haldedir ve bu uzun molekküller birbirine
geçerek mukavemeti arttırdığı için sağlam bir malzeme
oluştururlar.
Polimerizasyon
(polimerler nasıl büyürler):
Genel
olarak polimer zincirlerinin büyümesi 3 safhadan oluşur:
- Başlangıç:
Çoğunlukla ısı, ışık veya kimyasal uyarı ile basit
moleküllerin (initiator) bölünerek reaktif türe dönüşmeleri.
- Yayılma:
Monomerler ile tekrarlanan reaksiyona giren reaktif
türlerin zincir oluşturması.
- Sonlanma:
Yayılmayı
durduran bir koşulun oluşması.
Bu
çerçeve içinde olmak şartıyla birçok farklı polimerizasyon
oluşumu bulunmaktadır. Bunlardan bazı örenkler, radikal
(radical), yoğunlaşma (condensation) ve katyonik (cationic)
polimerizasyondur. Radical polimerizasyon en çok fotopolimerlerde
en çok karşılaşılan mekanizmadır. Katyonik polimerizasyon
ise CMET ve 3D Systems tarafından kullanılan epoksi
(epoxy) tabanlı fotopolimerlerdeki kür mekanizmasıdır.
Bunun radikal polimerizasyona olan üstünlüğü, oksijen
tarafından reaksiyonun engellenmemesidir.
Çapraz
bağlanma (cross linking) ile yüksek mukavemet:
Önceki
paragraflarda açıklandığı gibi polimerler uzun moleküllerden
oluşur ve bu moleküllerin birbirlerine dolaşmasıyla
malzemenin mukavemeti artar. Fakat sıcaklık yükseldikçe
moleküller arasındaki kayganlık artar ve mu mukavemeti
önemli ölçüde düşürür. Bunu önlemek için moleküllerin
birbirleri arasında belli noktalardan bağlanması gerekir:
Solda,
birbirlerine dolanmış molekül zincirleri, sağda ise
çapraz bağlanmış molekül zincirleri şematik olarak gösterilmiştir.
Çapraz bağlanma sonucunda bağımsız polimer molekülleri
birleşerek dev moleküller oluştururlar. Epoksi ve vulkanize
olmuş kauçuk (vulcanized rubber) çapraz bağlanmış polimerlere
verilebilecek en iyi bilinen iki örnektir. Ham kauçuğun
pişirilerek vulkanize edilmesi sırasında moleküller
çapraz bağlanarak yüksek sıcaklık dayanımına sahip bir
polimer malzeme oluştururlar. Çoğunlukla kemer tokaları
ve diğer tekstil aksesuarları yapımında zamak, tutya
gibi düşün sıcaklıkta eriyen metaller pişirilmiş kauçuk
kalıplara merkazkaç altında dökülürler. Vulkanizasyon
sonrası kauçuk bu döküm sıcaklık ve basıncına dayanıklı
hale getirilmiştir.
Monomer
olarak polimerler (oligomer):
Bazen bir molekülü oluşturan monomerlerin kendisi de
daha küçük monomerlerden oluşmuş bir polimer olabilir.
Bu durumda, monomer görevi gören polimerlere oligomer
denir. Oligomer, Yunanca "küçük polimer" anlamına
gelmektedir.
Çapraz
bağlama ise oligomerlerden oluşan bir polimerizasyon
olarak düşünülebilir.
Fotopolimerler:
Fotopolimer, molekül büyümesi için gerekli gücü ışık
enerjisiyle alan bir tür polimerden ibarettir. Fotopolimer
reçinenin temel yapı taşı monomerdir. Işığa maruz kaldıklarında
oluşan kimyasal reaksiyonla bu monomerler birleşerek
polimer moleküllerini oluştururlar. Sıvı haldeki bir
fotopolime reçine polimerizasyon sonrasında çok uzun
ve ağır moleküllere sahip olduğundan katı hale geçer.
Karmaşık bir şekilde birbirlerine dolanmış bu molekülleri
birbirlerinden ayırmak çok zor olduğu için, kür olmuş
fotopolimer sert ve çözücülere karşı dayanıklı bir yapıya
sahiptir. Otoinşa cihazlarının çoğunda
inşa malzemesi
olarak kullanılan ham (kür olmamış) fotopolimer oda
sıcaklığında sıvı haldedir fakat (Denken/SolidJet)
gibi katı fotopolimer kullanan bir cihaz da vardır.
Burada, şeffaf ve katı haldeki fotopolimer ışıkla kür
olduktan sonra sıcaklığa ve çözücülere karşı dayanıklı
hale gelir.
Işıkla
başlatılan radikal polimerizasyon:
(bu bölüm yapım aşamasındadır)

Çapraz bağlanmış Polyvinyl
|
Fotokroslink
(Photocrosslinking), Işıkla çapraz bağlanma:
|
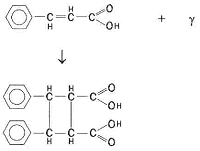
Cinnamic
asit:
|
 |
|
Truxinic
asit:
|
veya
|
Truxillic
asit:
|
 |
|
Vinyl:
|
 |
Poly(vinyl
cinnamate):
|
 |
|
Cinnamoyl:
|
|
|
Fotopolimer
reçine üreticileri:
-
Vantico
(www.vantico-aandt.net):
Eski ismi Ciba Speciality Chemicals olan Vantico,
yıllarca 3D Systems ile ortak ürün geliştirme çalışmaları
yaptıktan ve pazarlamayı 3D Systems aracılığı ile
sürdürdükten sonra Şubat 2002'de anlaşmayı bozarak
pazarlamayı direkt yapmaya başlamıştır. Artık sadece
Japonya'da Vantico ürünleri 3D Systems üzerinden
pazarlanmaktadır. Vantico, AlliedSignal Firması'nın
fotopolimer ürünlerini de bünyesine katmıştır.
Vantico,
Stereocol isimli, renklendirilebilir bir
fotopolimer reçine serisini de üretmektedir. Belli
bir seviyenin üzerinde UV (kızılötesi) ışımaya maruz
kalan reçine şeffaf bal renginden mor renge dönmektedir.
İmalat sonrası güneş ışığındaki UV sebebiyle tüm
modelin renk değiştirmesini önlemek için model yüzeyi
UV bariyer görevi yapan özel bir vernikle kaplanır.
Stereocol orijinal olarak, (daha sonraları ismi
Avecia Specialty olarak değiştirilen) İngiltere
tabanlı Zeneca firması tarafından geliştirilmiştir.
Vantico, Nisan 2001'de Avecia'dan Stereocol serisini
satın almıştır. Stereocol başlıca medikal
modellemede kullanılmaktadır.
-
RPC
(www.rpc.ch):
Bağımsız ürün geliştiren bu İsviçre firmasını 2002
başında 3D
Systems satın almış ve 23 Nisan 2002 tarihi
itibarı ile SLA sistemleri için fotopolimer reçineleri
Accura markası altında satışa başlamıştır.
-
DSM
Somos (www.dsmsomos.com):
Eski DuPont, birçok farklı malzeme geliştirir: Tam
şeffaf (WaterClear) ve koyu kahverengi renkli footpolimer
reçineler gibi. Ayrıca, 3D Systems ile yaptığı OptoForm
ortaklığıyla seramik ve metal tozu karıştırılmış
fotopolimer reçineler de üretmeye başlamıştır.
-
JSR
Corporation (www.jsr.co.jp):
Tsukuba City'de yerleşik JSR (Japan Synthetic Rubber)
, Japonya'nın en büyük sentetik kauçuk üretici firmasıdır
ve 1995 yılı itibariyle Dünya'nın en büyük dördüncü
(UV curable) fotopolimer reçine üreticisidir. JSR,
JFC (Japan Fine Coatings) ile birlikte ABD Chigago
tabanlı DSM Resins firmasıyla (1995 yılı itibariyle)
14 yıllık ortak girişimle işbiliği yapmışlardır.
JSR, DESOLITE markasıyla standart fotopolimer reçine
cinslerine ek olarak, malzeme özellikleri ABS, polyethylene
(PE), polypropylene (PE) ve kauçuk benzeri olan
reçineler ile cam elyafı takviyeli ve yüksek sıcaklıklara
dayanımlı reçineler de üretmektedir.
JSR aynı zamanda otoinşa sistemleri üreticisi D-MEC'in
de sahibidir.
-
Asahi
Denka Chemical Products (www.adk.co.jp):
Japonya tabanlı bu fotopolimer üreticisi CMET
için malzeme sağlamaktadır.
|
|
Genel
bilgi için internet adresleri:
-
www.photopolymer.com
Baskı plakaları, stereolitografi reçineleri, serigrafi
ürünleri, ışıkla kür olan yapıştırıcı, kaplama ve
mürekkepler hakkında bilgi içeren bir portal.
-
www.uvcuring.com
Kızılötesi ışıkla kür konusunda bilgi alışverişi
için umuma açık bir internet forumu. Otoinşa teknolojisi
uygulamaları henüz yer almasa da prosesin kimyasını
öğrenmek bakımından faydalı bir kaynak.
|
| Ana
Sayfa | Önceki Sayfa |
Sonraki Sayfa | |
|