|
Eğimli yüzeylerde Dw çapını bulmak için CAD/CAM yazılımlarından yararlanılabilir. Küresel takımların büyük bir çoğunlukla eğimli yüzeylerin işlenmesinde kullanıldığı göz önüne alındığında CAD/CAM yazılımları ile temsili Dw çapının bulunması önem kazanmaktadır. Aşağıdaki resimlerde böyle bir uygulama gösterilmiştir.

Resim 5. İstenen eğim açısında bir üçgen çizimi

Resim 6. Açılı yüzeye tam teğet istenen çapta temsili parmak freze çizimi

Resim 7. Temsili talaş derinliğinin verilmesi

Resim 8. Temsili takımın yaptığı izin ölçülmesi (Dw)
3 eksenli CNC dik işleme merkezlerinde eğimli yüzeylerin işlenmesinde yukarıda da görüldüğü üzere sürekli olarak Dw çapı değişirken 5 eksenli tezgahlarda böyle bir durum söz konusu olmamaktadır. Bunun sebebi; fener milinin istenen açıya dönebilme kabiliyeti sayesinde istenirse sürekli olarak yüzeye dik kesim yapılabilme özelliğidir. 5 eksenli tezgahların en büyük avantajlarından bir tanesi budur.

Resim 9. 5 eksen işlemede takım pozisyonu
Resim 9 da görüldüğü gibi fener miline bağlı olarak kesici takımın iş parçası normaline göre talaş kaldırabilmesi sonucunda efektif çapta eğim açısından kaynaklanan herhangi bir değişme olmamaktadır. (1) ve (2) nolu formüller bu işleme türünde yüzey normaline göre yapılan işlemlerde geçerlidir.
2.3. Küresel takımlarda kesme kuvveti
Frezeleme işlemleri esnasında oluşan kesme kuvvetleri; doğrudan ya da dolaylı olarak takım aşınması, takım ömrü, yüzey kalitesi vb. parametreleri etkilemektedir. Küresel takımlarla frezeleme; özellikle otomotiv, havacılık ve kalıpçılık endüstrisinde oldukça yaygın bir kullanım alanı bulmaktadır. CAD/CAM sistemlerinin ve CNC tezgahlarının son zamanlardaki gelişimine paralel olarak oldukça kompleks yüzeylerin işlenmesi ihtiyacı küresel takımların kullanım alanını genişletmektedir. Bütün bunlardan ötürü yaygın kullanım alanına sahip olan küresel takımların uygun parametrelerle işlenmesi ihtiyacı; kesme kuvvetlerinin önceden tahmin edilmesine yönelik bir çok araştırmayı beraberinde getirmiştir. Kesme kuvvetlerinin önceden belirlenmesi, proses planlamasından takım aşınmasına, takım deformasyonuna, takım ömrünün önceden belirlenebilmesine ve bunların sonucunda daha kaliteli parçalar üretilmesine imkan sağlamaktadır [7].
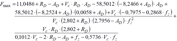
Bu konu üzerine bir literatür araştırması yapıldığında neredeyse bütün formüllerin lineer olmadığı ve diferansiyel hesaplara bağlı olduğu ortaya çıkmıştır. Ancak ortalama %5 hata payı bulunan lineer bir formül aşağıdaki şekilde ifade edilmektedir.
(3)
3 no'lu formülde;
RD = Yanal kayma mesafesini (mm)
AD = Talaş derinliğini (mm)
VC = Kesme hızını (m/dak)
fZ = Diş başına ilerleme miktarını (mm/diş)
ifade etmektedir [7].
|