|
M. Murat Topaç, N. Sefa Kuralay
Müh. Fak., Makine Müh. Böl., Otomotiv A.B.D.
Yetkin Hamurişçi
Müh. Fak. F.B.E.,
Makine Müh. A.B.D., Konstrüksiyon-İmalat Programı
Dokuz Eylül Üniversitesi
Bornova, İzmir
Not: Bu makale ilk olarak TMMOB Mühendis ve Makina Dergisi Mart 2009 sayısında yayınlanmıştır ve aşağıdaki linkten PDF formatında indirilebilir;
www.mmo.org.tr/resimler/ekler/b64a3e05dbe8b78_ek.pdf?dergi=481 (3,17MB)
Özet
Tasarım aşamasındaki bir kamyon kavramasında kullanılması düşünülen kavrama kapağının yapısal analizi gerçekleştirilmiştir. Bu amaçla, kavramanın ayrılması sırasında diyafram yayda oluşan elastik şekil değişimi sonlu elemanlar yöntemi yardımıyla simüle edilerek kapağa etkiyen kuvvetler belirlenmiştir. Sonuçlar, yaya uygulanan yükleme testlerinden elde edilen kuvvet değerleriyle karşılaştırılmıştır. Kavrama kapağı sonlu elemanlar yöntemi kullanılarak modellenmiş, yay kuvvetinin parça genelinde oluşturduğu gerilmeler ve elastik şekil değişimleri incelenmiştir. Üretici tarafından öngörülen maksimum elastik şekil değişimi kriteri göz önünde bulundurularak, kavrama kapağının fonksiyona uygunluğu değerlendirilmiştir.
Anahtar Sözcükler: Taşıt kavraması, Diyafram yay, Kavrama kapağı, Sonlu elemanlar yöntemi
Determination of elastic deformation of an automotive clutch cover under pedal force by using finite element method
Abstract
A structural analysis of a clutch cover that will be used in a truck clutch is performed. For this reason, the elastic deformation of the diaphragm spring occuring during disengagement of the clutch was simulated and forces acting on the clutch cover were determined by finite element method. The results of the analysis were compared with the force characteristics obtained from loading tests applied to the spring. In addition to this, the clutch cover was modelled via finite element method. Stress and elastic deformation distribution of cover caused by spring forces were studied. In the light of maximum elastic deformation criteria predicted by the manufacturer, functional suitability of the cover was evaluated.
Keywords: Automotive clutch, Diaphragm spring, Clutch cover, Finite element method
1. Giriş
Taşıt kavraması ya da bilinen adıyla debriyaj, güç iletim sisteminde motor ile vites kutusu arasında yer alan çözülebilir bağlantı elemanıdır. Taşıtın kalkışı sırasında, belirli bir devir sayısında çalışan motordan alınan momentin, mümkün olan en düşük sarsıntıyla vites kutusu ile diğer iletim organlarına aktarılması ve basamak değişimi sırasında senkromeç dişlerinin yük altında zorlanmaması için kademeli vites kutusuna aktarılan momentin kesilmesi işlemleri, kavramalar yardımıyla sağlanmaktadır [1, 2]. Bu iki temel göreve ek olarak kavrama, motor ile vites kutusu arasında bir emniyet elemanı olarak işlev görmekte, aşırı moment aktarımında kaydırma yaparak vites kutusunun zarar görmesini engellemektedir. Şekil 1'de, yol taşıtlarında sıklıkla uygulanan tek diskli kuru kavramanın yapı elemanları görülmektedir [3].

Şekil 1. Diyafram yaylı taşıt kavraması [3]
Diskli kuru kavramalarda temel olarak balatalı bir disk, baskı plakasıyla birlikte ve yay kuvveti etkisi ile volana bastırılarak, motordan alınan momentin vites kutusuna aktarımı sağlanmaktadır. Motor ile vites kutusu arasındaki bağlantının çözülmesi için sürücü mahallinde bulunan kavrama kumanda pedalına basılmak suretiyle yay kuvveti yenilmekte ve baskı plakası serbest bırakılmaktadır (Şekil 2). Böylelikle balatalı diskin volan ile teması kesilmektedir. Sistemde baskı yayı görevini üstlenen diyafram yay iki taraflı bir manivela kolunu meydana getirmektedir. Manivela hareketinin gerçekleştirilmesi için yay, mesnet görevi gören kavrama kapağına perçinlerle ve öngerilmeli olarak bağlanmaktadır. Güç iletimi sırasında, yayın dış kenarı (etek) baskı plakasına basmaktadır. Kavramanın ayrılması için baskı rulmanı pedal kuvveti etkisiyle, diyafram yayın iç kısmındaki dilleri eksenel yönde ittirir. Böylece yay, perçinler üzerinde elastik olarak şekil değiştirerek baskı plakası ile kavrama diskini ayrılır ve kuvvet iletimi kesilmiş olur.

Şekil 2. Basılarak çözülen diyafram yaylı kavrama [4]
Kavramanın temel elemanlarını barındıran kavrama kapağının, çalışma sırasında mümkün olduğunca az esneme göstermesi, tasarımda arzu edilen kriterlerden bir tanesidir. Kapaktaki elastik şekil değişimi ne kadar az olursa, kavramanın ayrılması için gereken pedal kuvvetindeki kayıp o kadar az olmaktadır.
Bu çalışmada, bir kamyonun güç iletim sisteminde uygulanması düşünülen diskli kuru kavramanın tasarım aşamasındaki kapağında, işletim sırasında oluşacak elastik şekil değişimi ANSYS® Workbench V11.0 sonlu elemanlar paketi kullanılarak incelenmiştir. Bunun için önce konstrüksiyonda kullanılacak mevcut diyafram yay sonlu elemanlar yöntemiyle modellenerek, işletme kuvveti nedeniyle ortaya çıkacak şekil değişimi simüle edilmiştir. Bu şekilde, işletim sırasında parçaya etkiyen eksenel kuvvetin yay sehimine bağlı değişimi elde edilmiştir. Oluşturulan yay karakteristiği, üretici firma bünyesinde kullanılan test cihazları yardımıyla deneysel olarak da doğrulanmıştır. Böylelikle, sonlu elemanlar analizinden elde edilen sonuçların gerçeğe yakınlığı ve kullanılabilirliği hakkında fikir edinilmiştir. İkinci aşamada, kapağın katı modeli ve sonlu elemanlar modeli oluşturularak, yay analizinden elde edilen kuvvet değerleri ışığında parçanın gerilme ve elastik şekil değişimi analizleri yapılmıştır. Bulunan sonuçlar, üretici tarafından belirlenen kriterlerle karşılaştırılmış, parçanın konstrüksiyona uygunluğu değerlendirilmiştir.
Diyafram yay karakteristiğinin saptanması
2.1. Yay karaktesitiğinin deneysel olarak elde edilmesi
İşletim sırasında kapakta ortaya çıkacak elastik şekil değişimi miktarının belirlenebilmesi için, parçaya etkiyen kuvvetlerin bilinmesi gerekmektedir. Kavrama konstrüksiyonunda diyafram yaylar kavrama kapağına, perçinler ve mesnet halkası ile Şekil 3'te görülen biçimde bağlanmaktadırlar. Çalışmanın ilk aşamasında, kavramanın ayrılması sırasında yayda meydana gelen elastik şekil değişimi nedeniyle, bağlantı perçinlerinden kapağa iletilen kuvvetler belirlenmiştir.

Şekil 3. Diyafram yayın kapağa bağlanması
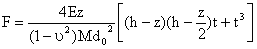
Taşıt kavramalarında kullanılan diyafram yay yapı itibariyle, Belleville yayı ya da disk yay olarak bilinen makine elemanının özel bir halidir. Şekil 4'te görüldüğü gibi, diyafram yayda disk yaydan farklı olarak, esnekliğin artırılması için radyal yarıklar bulunmaktadır. Disk yayda, yay ekseni Z boyunca belirli bir z sehimi oluşturabilmek için uygulanması gereken kuvvet F,
(1)
bağıntısıyla hesaplanır [5; 6].

Şekil 4. Diyafram yay

Şekil 5. Disk yayın geometrisi
Burada E; yay malzemesinin elastisite modülü, v; Poisson oranı, t; kesit kalınlığı, h; yay yüksekliği, d0 ve d1 sırasıyla; disk yayın dış ve iç çapıdır. M, d0/ d1 oranına bağlı sabit bir değer olup, literatürde verilen ilgili diyagramlardan elde edilebilmektedir [6; 7]. (1) Bağıntısından elde edilen yay karakteristiğinin çeşitli yükseklik/kalınlık (h/t) oranlarına bağlı değişimi Şekil 6'da görülmektedir. Buna göre disk yayın rijitliği yay sehiminin fonksiyonu olup, parça üzerine etkiyen kuvvetin büyüklüğüne bağlı olarak değişmektedir [8; 9]. Taşıt kavramalarında kullanılan diyafram yaylar da yapıları gereği, disk yay karakteristiğine çok yakın bir özellik gösterir. Üretim sırasında yay, kavramaya % 100 sehimle yani düzleştirilmiş şekilde, öngerilmeli olarak monte edilmektedir. Bu uygulamayla, yayın h ve t ölçülerine bağlı olarak kuvvet karakteristiğinde yataya yakın degresif bir bölge elde edilebilmektedir. Böylece, yaklaşık sabit bir kuvvet ihtiyacı ile kavramanın çalışmasına olanak sağlanmaktadır [1; 2].

Şekil 6. Disk yay karakteristiği [6]
Kavramanın komple montaj modelinin üzerinden analiz yapılması, uzun süreli modelleme çalışması ve oldukça fazla sayıda elemandan oluşan çözülmesi zor bir sonlu elemanlar analizi gerektirmektedir. Bu nedenle kavramanın tamamı yerine, sistemin oluşturan temel yapı elemanlarının ayrı ayrı değerlendirilmesi yoluna gidilmiştir. İlk aşamada, sistemin kuvvet karakteristiğini belirleyen diyafram yayın elastik şekil değişimi nedeniyle, kavrama kapağına etkiyen yük incelenmiştir. Sonlu elemanlar analizinden sağlanan yay kuvveti karakteristiği, üretici firma bünyesinde bulunan diyafram yay test cihazları ile elde edilmiş deneysel karakteristikle karşılaştırıldıktan sonra, kapağın yapısal analizinde kuvvet girdisi olarak kullanılmıştır.
|